您的位置:对照品 > 标准品 > 英国药典 > |
|
|
|
| 产品基本信息 |
|
| 产品编号:M271935 |
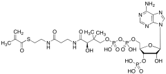
| 产品名称:Methylacrylyl-CoA |
| 产品CAS:6008-91-9 |
| 规格含量:10mg |
| 产品价格:面议 |
| 联系我们: |
|
|
|
|
|
| 产品详细介绍 |
| 标准品编号: |
M271935 |
| 名称: |
Methylacrylyl-CoA |
| 别名: |
S-(2-Methyl-2-propenoate) Coenzyme A; S-Methacrylate Coenzyme A; Methacrylyl Coenzyme A; Methacryloyl-CoA; |
| CAS号: |
6008-91-9 |
| 分子式: |
C₂₅H₄₀N₇O₁₇P₃S |
| 外观: |
白色至白色固体 |
| 熔点: |
>200°C (dec.) |
| 分子量: |
835.61 |
| 储存: |
Hygroscopic, -20°C Freezer, Under inert atmosphere |
| 溶解度: |
Water (Slightly) |
| 种类: |
Standards; Pharmaceutical/API Drug Impurities/Metabolites; |
| 应用: |
Methacrylyl-CoA is an intermediate in the serine cycle that converts acetyl CoA (acetyl-CoA) to glyoxylate. |
| 参考文献 |
|
|
|
|
|
|
|
|