您的位置:对照品 > 标准品 > 英国药典 > |
|
|
|
| 产品基本信息 |
|
| 产品编号:N395502 |
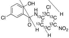
| 产品名称:Niclosamide-13C6 |
| 产品CAS:1325559-12-3 |
| 规格含量:5mg |
| 产品价格:面议 |
| 联系我们: |
|
|
|
|
|
| 产品详细介绍 |
| 标准品编号: |
N395502 |
| 名称: |
Niclosamide-13C6 |
| 别名: |
5-Chloro-N-(2-chloro-4-nitrophenyl)-2-hydroxybenzamide-13C6 Hydrate; 2',5-D733ichloro-4'-nitrosalicylanilide-13C6; Bayluscid-13C6; Cestocid-13C6; Cestocide-13C6; Devermin-13C6; Devermine-13C6; Helmiantin-13C6; Iomesan-13C6; Lintex-13C6; Mansonil-13C6; Mato-13C6; N-(2-Chloro-4-nitrophenyl)-5-chlorosalicylamide-13C6; Yomesan-13C6; Zestocarp-13C6; |
| CAS号: |
1325559-12-3 |
| 参考CAS号: |
Unlabelled: 50-65-7 |
| 分子式: |
C₇¹³C₆H₈Cl₂N₂O₄ |
| 分子量: |
333.08 |
| 种类: |
Standards; Isotopic Labeled Analogues; Pharmaceutical/API Drug Impurities/Metabolites; |
| 应用: |
Isotope labelled Niclosamide is used as an anthelmintic drug (Cestodes). |
| 危险品: |
Not a dangerous good if item is equal to or less than 1g/ml and there is less than 100g/ml in the package |
| 参考文献 |
|
|
|
|
|
|