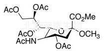
N-乙酰基-2-O-甲基-α-神经氨酸甲基酯4,7,8,9-四乙酸酯标准品
货号:A186720
英文名称:N-Acetyl-2-O-methyl-α-neuraminic Acid Methyl Ester 4,7,8,9-Tetraacetate
别名:Methyl(methyl-5-acetamido-4,7,8,9-tetra-D-acetyl-3,5-dideoxy-D-glycero-α-D-galacto-2-nonulopyranoside)onate;
规格:25mg,250mg
结构图:

CAS号:73208-80-7
分子式:C₂₁H₃₁NO₁₃
分子量:505.47
产品类别:标准对照品,北京莱耀生物提供
注:产品名称以英文名称为准
|