欢迎光临:莱耀标准品网!
 您的位置:对照品 > 标准品 > 英国药典 >
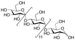
Maltotridecaose
产品基本信息
产品编号:M159040
产品名称:Maltotridecaose
产品CAS:100307-91-3
规格含量:
产品价格:面议
联系我们:
产品详细介绍
标准品编号: M159040
名称: Maltotridecaose
别名: O-α-D-glucopyranosyl-(1→4)-O-α-D-glucopyranosyl-(1→4)-O-α-D-glucopyranosyl-(1→4)-O-α-D-glucopyranosyl-(1→4)-O-α-D-glucopyranosyl-(1→4)-O-α-D-glucopyranosyl-(1→4)-O-α-D-glucopyranosyl-(1→4)-O-α-D-glucopyranosyl-(1→4)-O-α-D-glucopyranosyl-(1→4)-O-α-D-glucopyranosyl-(1→4)-O-α-D-glucopyranosyl-(1→4)-O-α-D-glucopyranosyl-(1→4)-
CAS号: 100307-91-3
分子式: C₇₈H₁₃₂O₆₆
分子量: 2125.84
种类: Standards; Food;
应用: Maltotridecaose is a long branched chain of Maltose (M160650) units, molecules which arecommonly found in foods and commonly utilized in brewing processes.
参考文献


2011-2018 信阳莱耀生物科技有限公司 @ 信阳埃尔文生物科技有限公司版权所有

中检所标准品,对照品,标准气体
Keywords: 中检所标准品 对照品 标准气体