欢迎光临:莱耀标准品网!
 您的位置:对照品 > 标准品 > 英国药典 >
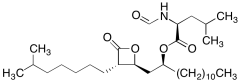
(S)-(S)-1-((2S,3S)-3-(6-methylheptyl)-4-oxooxetan-2-yl)tridecan-2-yl 2-formamido-4-Methylp
产品基本信息
产品编号:M090620
产品名称:(S)-(S)-1-((2S,3S)-3-(6-methylheptyl)-4-oxooxetan-2-yl)tridecan-2-yl 2-formamido-4-Methylp
产品CAS:
规格含量:2.5mg
产品价格:面议
联系我们:
产品详细介绍
标准品编号: M090620
名称: (S)-(S)-1-((2S,3S)-3-(6-methylheptyl)-4-oxooxetan-2-yl)tridecan-2-yl 2-formamido-4-Methylpentanoate
别名: N-formyl-L-Leucine(S)-1-[(2S,3S)-3-(6-methyl-heptyl)-4-oxo-oxetan-2-ylmethyl]-dodecyl ester
分子式: C₃₁H₅₇NO₅
分子量: 523.79
种类: Standards; Enzyme Activators and Inhibitors; Pharmaceutical/API Drug Impurities/Metabolites;
应用: An impurity of the antiobesity agent Orlistat (O686500), a pancreatic lipase inhibitor.
参考文献


2011-2018 信阳莱耀生物科技有限公司 @ 信阳埃尔文生物科技有限公司版权所有

中检所标准品,对照品,标准气体
Keywords: 中检所标准品 对照品 标准气体