您的位置:对照品 > 标准品 > 英国药典 > |
|
|
|
| 产品基本信息 |
|
| 产品编号:L170570 |
| 产品名称:Lamiide |
| 产品CAS:27856-54-8 |
| 规格含量:5mg |
| 产品价格:面议 |
| 联系我们: |
|
|
|
|
|
| 产品详细介绍 |
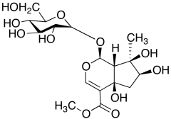
| 标准品编号: |
L170570 |
| 名称: |
Lamiide |
| 别名: |
[1S-(1α,4aα,6α,7α,7aα)]-1-(β-D-Glucopyranosyloxy)-1,4a,5,6,7,7a-hexahydro-4a,6,7-trihydroxy-7-methyl-Cyclopenta[c]pyran-4-carboxylic Acid Methyl Ester, |
| CAS号: |
27856-54-8 |
| 分子式: |
C₁₇H₂₆O₁₂ |
| 分子量: |
422.38 |
| 种类: |
Standards; Pharmaceutical/API Drug Impurities/Metabolites; |
| 应用: |
Lamiide is an iridoid glycoside from Phlomis pungens and exhibits antioxidant activity. |
| 参考文献 |
|
|
|
|
|
|