欢迎光临:莱耀标准品网!
 您的位置:对照品 > 标准品 > 英国药典 >
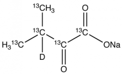
α-Keto Isovaleric Acid-13C5,d Sodium Salt
产品基本信息
产品编号:K193504
产品名称:α-Keto Isovaleric Acid-13C5,d Sodium Salt
产品CAS:420095-74-5
规格含量:10mg
产品价格:面议
联系我们:
产品详细介绍
标准品编号: K193504
名称: α-Keto Isovaleric Acid-13C5,d Sodium Salt
别名: 3-Methyl-2-oxobutanoic Acid-13C5,d Sodium Salt; Sodium 3-Methyl-2-oxobutanoate-13C5,d; Sodium 3-Methyl-2-oxobutyrate-13C5,d; Sodium Dimethylpyruvate-13C5,d; Sodium α-Ketoisovalerate-13C5,d; Sodium α-Oxoisovalerate-13C5,d;
CAS号: 420095-74-5
参考CAS号: 3715-29-5-unlabelled
分子式: ¹³C₅H₆DNaO₃
分子量: 144.07
种类: Building Blocks; Isotopic Labeled Analogues;
应用: A labelled α-keto ester derivative.
参考文献


2011-2018 信阳莱耀生物科技有限公司 @ 信阳埃尔文生物科技有限公司版权所有

中检所标准品,对照品,标准气体
Keywords: 中检所标准品 对照品 标准气体