欢迎光临:莱耀标准品网!
 您的位置:对照品 > 标准品 > 英国药典 >
氢化肉桂酸-13C3标准品
产品基本信息
产品编号:H714597
产品名称:氢化肉桂酸-13C3标准品
产品CAS:
规格含量:1g,10g
产品价格:1900元,16000元
联系我们:
产品详细介绍

  氢化肉桂酸-13C3标准品

  货号:H714597
  英文名称:Hydrocinnamic Acid-13C3
  别名:Benzenepropanoic Acid-13C3; 3-Phenyl-n-propionic Acid-13C3; 3-Phenylpropanoic Acid-13C3; 3-Phenylpropionic Acid-13C3; Benzenepropionic Acid-13C3; Benzylacetic Acid-13C3; Dihydrocinnamic Acid-13C3; NSC 9272-13C3; β-Phenylpropanoic Acid-13C3; β-Phenylpropionic Acid-13C3; ω-Phenylpropanoic Acid-13C3;
  规格:1g,10g
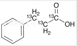
  结构式:
氢化肉桂酸-13C3标准品
  分子式:C613C3H10O2
  分子量:150.17
  产品类别:莱耀生物标准品,北京莱耀生物提供
  注:产品名称以英文名称为准


2011-2018 信阳莱耀生物科技有限公司 @ 信阳埃尔文生物科技有限公司版权所有

中检所标准品,对照品,标准气体
Keywords: 中检所标准品 对照品 标准气体