欢迎光临:莱耀标准品网!
 您的位置:对照品 > 标准品 > 英国药典 >
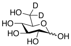
D-Glucose-6,6-d2
产品基本信息
产品编号:G595003
产品名称:D-Glucose-6,6-d2
产品CAS:18991-62-3
规格含量:100mg
产品价格:面议
联系我们:
产品详细介绍
标准品编号: G595003
名称: D-Glucose-6,6-d2
别名: D-Glucopyranose-d2; Glucopyranose-d2; NSC 287045-d2;
CAS号: 18991-62-3
参考CAS号: Unlabelled: 50-99-7
分子式: C₆H₁₀D₂O₆
外观: 白色至白色固体
熔点: 137-139°C
分子量: 182.17
储存: 冰箱
溶解度: Methanol (Slightly, Heated), Water (Slightly)
种类: Research Tools; Isotopic Labeled Analogues; Carbohydrates and Oligosaccharides;
应用: Labelled D-Glucose is a simple sugar that is present in plants. A monosaccharide that may exist in open chain or cyclic conformation if in solution. It plays a vital role in photosynthesis and fuels the energy required for cellular respiration. D-Glucose is used in various metabolic processes including enzymic synthesis of cyclohexyl-α and β-D-glucosides. Can also be used as a diagnostic tool in detection of type 2 diabetes mellitus and potentially Huntington's disease through analysis of blood-glucose in type 1 diabetes mellitus.
参考文献


2011-2018 信阳莱耀生物科技有限公司 @ 信阳埃尔文生物科技有限公司版权所有

中检所标准品,对照品,标准气体
Keywords: 中检所标准品 对照品 标准气体