您的位置:对照品 > 标准品 > 英国药典 > |
|
|
|
| 产品基本信息 |
|
| 产品编号:O686505 |
| 产品名称:(S,S,R,S)-奥利司他标准品 |
| 产品CAS:130193-42-9 |
| 规格含量:10mg,25mg |
| 产品价格:100000元,130000元 |
| 联系我们: |
|
|
|
|
|
| 产品详细介绍 |
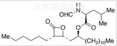
(S,S,R,S)-奥利司他标准品
货号:O686505
英文名称:(S,S,R,S)-Orlistatt
别名: [2R-[2α(S*),3α]]-N-Formyl-L-leucine 1-[(3-Hexyl-4-oxo-2-oxetanyl)methyl]dodecyl Ester;
规格:10mg,25mg
结构式:

CAS号:130193-42-9
分子式:C29H53NO5
分子量:495.73
产品类别:莱耀生物标准品,北京莱耀生物提供
注:产品名称以英文名称为准
|
|
|
|
|