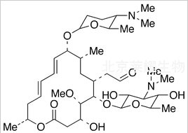
Neo Spiramycin I标准品
货号:N390040
英文名称:Neo Spiramycin I
别名:4VIP(LA)O-De(2,6-dideoxy-3-C-methyl-α-L-ribo-hexopyranosyl)-9-O-[(2R,5S,6R)-5-(dimethylamino)tetrahydro-6-methyl-2H-pyran-2-yl]leucomycin V;
规格:10mg,100mg
结构式:

CAS号:70253-62-2
分子式:C36H62N2O11
分子量:698.88
产品类别:莱耀生物标准品,北京莱耀生物提供
注:产品名称以英文名称为准
|