欢迎光临:莱耀标准品网!
 您的位置:对照品 > 标准品 > 英国药典 >
1-epi-Ramiprilat-d5标准品
产品基本信息
产品编号:R111013
产品名称:1-epi-Ramiprilat-d5标准品
产品CAS:
规格含量:1mg,10mg
产品价格:3100元,25000元
联系我们:
产品详细介绍

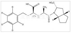
  1-EPI-雷米普利拉-D5标准品

  货号:R111013
  英文名称:1-epi-Ramiprilat-d5
  别名: 2-[N-(R-1-Carboxy-3-phenyl-d5-propyl)-L-alanyl]-(1R,3S,5S)-2-azabicyclo[3.3.0]octane-3-carboxylic Acid; (1R)-Ramiprilat;
  规格:1mg,10mg
  结构式:
1-EPI-雷米普利拉-D5标准品
  分子式:C21H23D5N2O5
  分子量:393.49
  产品类别:莱耀生物标准品,北京莱耀生物提供
  注:产品名称以英文名称为准


2011-2018 信阳莱耀生物科技有限公司 @ 信阳埃尔文生物科技有限公司版权所有

中检所标准品,对照品,标准气体
Keywords: 中检所标准品 对照品 标准气体