欢迎光临:莱耀标准品网!
 您的位置:对照品 > 标准品 > 英国药典 >
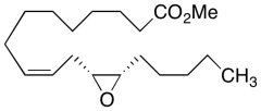
(±)-cis-12,13-Epoxy-9(Z)-octadecenoic acid methyl ester
产品基本信息
产品编号:E589705
产品名称:(±)-cis-12,13-Epoxy-9(Z)-octadecenoic acid methyl ester
产品CAS:10547-36-1
规格含量:10g
产品价格:面议
联系我们:
产品详细介绍
标准品编号: E589705
名称: (±)-cis-12,13-Epoxy-9(Z)-octadecenoic acid methyl ester
别名: (9Z)-rel-11-[(2R,3S)-3-Pentyl-2-oxiranyl]-9-undecenoic acid methyl ester; [2α(Z),3α]-11-(3-Pentyloxiranyl)-,9-undecenoic acid methyl ester; (9Z)-rel-11-[(2R,3S)-3-Pentyloxiranyl]-9-undecenoic acid methyl ester; cis-12,13-Epoxy-oleic acid methyl ester; Methyl isoleukotoxin; cis-12(13)-Epome
CAS号: 10547-36-1
分子式: C₁₉H₃₄O₃
分子量: 310.47
种类: Research Tools;
应用: (±)-cis-12,13-Epoxy-9(Z)-octadecenoic acid methyl ester can be used as an inhibitor of soybean lipoxygenase.
参考文献


2011-2018 信阳莱耀生物科技有限公司 @ 信阳埃尔文生物科技有限公司版权所有

中检所标准品,对照品,标准气体
Keywords: 中检所标准品 对照品 标准气体