您的位置:对照品 > 标准品 > 英国药典 > |
|
|
|
| 产品基本信息 |
|
| 产品编号:E588710 |
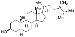
| 产品名称:Episterol |
| 产品CAS:474-68-0 |
| 规格含量:1mg |
| 产品价格:面议 |
| 联系我们: |
|
|
|
|
|
| 产品详细介绍 |
| 标准品编号: |
E588710 |
| 名称: |
Episterol |
| 别名: |
24-Methyl-5α-cholesta-7,24(28)-dien-3β-ol; 24-Methylene-5α-cholest-7-en-3β-ol; 24-Methylenecholesta-7,24(28)-dien-3β-ol; Episterin; Episterol; Δ7,24(28)-Ergostadienol |
| CAS号: |
474-68-0 |
| 分子式: |
C₂₈H₄₆O |
| 外观: |
白色固体 |
| 熔点: |
128-130°C |
| 分子量: |
398.66 |
| 储存: |
-20°C Freezer |
| 溶解度: |
Chloroform (Slightly), Ethyl Acetate (Slightly) |
| 种类: |
Standards; Pharmaceutical/API Drug Impurities/Metabolites; |
| 应用: |
Episterol is a compound influencing ergosterol biosynthesis, and thus acting as an antifungal agent. |
| 参考文献 |
|
|
|
|
|
|
|
|