您的位置:对照品 > 标准品 > 英国药典 > |
|
|
|
| 产品基本信息 |
|
| 产品编号:D721003 |
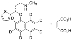
| 产品名称:Duloxetine-d7 Maleate |
| 产品CAS: |
| 规格含量:25mg |
| 产品价格:面议 |
| 联系我们: |
|
|
|
|
|
| 产品详细介绍 |
| 标准品编号: |
D721003 |
| 名称: |
Duloxetine-d7 Maleate |
| 别名: |
(γS)-N-Methyl-γ-(1-naphthalenyloxy-d7)-2-thiophenepropanamine Maleate; (+)-(S)-N-Methyl-γ-(1-naphthyloxy-d7)-2-thiophenepropylamine Maleate; LY-248686 Maleate; |
| 参考CAS: |
类似: 116817-86-8 |
| 分子式: |
C₂₂H₁₆D₇NO₅S |
| 外观: |
灰白色至浅褐色固体 |
| 熔点: |
114-1160C |
| 分子量: |
420.53 |
| 储存: |
-20°C Freezer |
| 溶解度: |
Methanol (Slightly), Water (Slightly, Sonicated) |
| 种类: |
Standards; Isotopic Labeled Analogues; Pharmaceutical/API Drug Impurities/Metabolites; |
| 应用: |
Labelled Duloxetine, which is used as an antidepressant. A dual serotonin and norepinephrine reuptake inhibitor (SNRI). |
| 参考文献 |
|
|
|
|
|
|
|
|