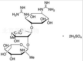
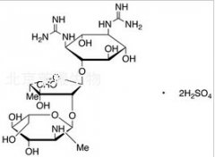
硫酸链霉素标准品
货号:S687500
英文名称:Streptomycin Sulfate
别名:O-2-deoxy-2-(methylamino)-α-L-glucopyranosyl-(1-2)-O-5-deoxy-3-C-formyl-α-L-lyxofura nosyl-(1-4)-N1,N3-bis(aminoiminomethyl)-D-streptamine Disulfate; Agrept; Agrimycin; NSC 14083; Neodiestreptopab; Streptomycin A; Vetstrep;
规格:1g,10g
结构式:

CAS号:3810-74-0
分子式:C21H43N7O20S2
分子量:777.73
产品类别:莱耀生物标准品,北京莱耀生物提供
注:产品名称以英文名称为准
|