缬氨霉素标准品
货号:V094370
英文名称:Valinomycin
别名:3,6,9,15,18,21,27,30,33-Nonaisopropyl-12,24,36-trimethyl-1,7,13,19,25,31-hexaoxa-4,10,16,22,28,34-hexaazacyclohexatriacontane-2,5,8,11,14,17,20,23,26,29,32,35-dodecone; 1Cyclo(D-α-hydroxyisovaleryl-D-valyl-L-lactoyl-L-valyl-D-α- hydroxyisovaleryl-D-valyl-L-lactoyl-L-valyl-D-α-hydroxyisovaleryl-D-valyl-L-lactoyl-L-valyl); NSC 122023; Valinomicin;
规格:2.5mg,25mg
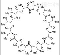
结构式:

CAS号:2001-95-8
分子式:C54H90N6O18
分子量:1111.32
产品类别:莱耀生物标准品,北京莱耀生物提供
注:产品名称以英文名称为准
|