欢迎光临:莱耀标准品网!
 您的位置:对照品 > 标准品 > 英国药典 >
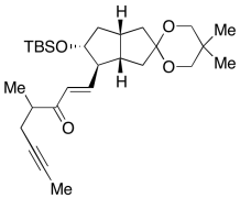
(1E)-1-[(3'aS,4'R,5'R,6'aR)-5'-[[(1,1-Dimethylethyl)dimethylsilyl]oxy]hexahydro-5,5-dimeth
产品基本信息
产品编号:D473525
产品名称:(1E)-1-[(3'aS,4'R,5'R,6'aR)-5'-[[(1,1-Dimethylethyl)dimethylsilyl]oxy]hexahydro-5,5-dimeth
产品CAS:116896-29-8
规格含量:1mg
产品价格:面议
联系我们:
产品详细介绍
标准品编号: D473525
名称: (1E)-1-[(3'aS,4'R,5'R,6'aR)-5'-[[(1,1-Dimethylethyl)dimethylsilyl]oxy]hexahydro-5,5-dimethylspiro[1,3-dioxane-2,2'(1'H)-pentalen]-4'-yl]-4-methyl-1-octen-6-yn-3-one
别名: [3'aS-[3'aα,4'α(E),5'β,6'aα]]-1-[5'-[[(1,1-Dimethylethyl)dimethylsilyl]oxy]hexahydro-5,5-dimethylspiro[1,3-dioxane-2,2'(1'H)-pentalen]-4'-yl]-4-methyl-1-octen-6-yn-3-one; Spiro[1,3-dioxane-2,2'(1'H)-pentalene], 1-octen-6-yn-3-one deriv.
CAS号: 116896-29-8
分子式: C₂₈H₄₆O₄Si
分子量: 474.75
种类: Standards; Chiral Molecules; Enzyme Activators and Inhibitors; Pharmaceutical/API Drug Impurities/Metabolites;
应用: (1E)-1-[(3'aS,4'R,5'R,6'aR)-5'-[[(1,1-Dimethylethyl)dimethylsilyl]oxy]hexahydro-5,5-dimethylspiro[1,3-dioxane-2,2'(1'H)-pentalen]-4'-yl]-4-methyl-1-octen-6-yn-3-one is an intermediate in the synthesis of Iloprost (I267300),a synthetic analogue of Prostacyclin (PGI2) used to treat pulmonary arterial hypertension (PAH), scleroderma, raynaud's phenomenon and ischemia.
参考文献


2011-2018 信阳莱耀生物科技有限公司 @ 信阳埃尔文生物科技有限公司版权所有

中检所标准品,对照品,标准气体
Keywords: 中检所标准品 对照品 标准气体