您的位置:对照品 > 标准品 > 英国药典 > |
|
|
|
| 产品基本信息 |
|
| 产品编号:D452900 |
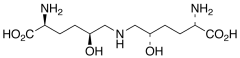
| 产品名称:(5S,5’S)-Dihydroxy Lysinonorleucine |
| 产品CAS:32619-23-1 |
| 规格含量:1mg |
| 产品价格:面议 |
| 联系我们: |
|
|
|
|
|
| 产品详细介绍 |
| 标准品编号: |
D452900 |
| 名称: |
(5S,5’S)-Dihydroxy Lysinonorleucine |
| 别名: |
N6-[(2S,5S)-5-amino-5-carboxy-2-hydroxypentyl]-5-hydroxy-L-lysine; (5S,5’S)-Hydroxylysinohydroxynorleucine; |
| CAS号: |
32619-23-1 |
| 分子式: |
C₁₂H₂₅N₃O₆ |
| 外观: |
白色至Beige Solid |
| 熔点: |
>185°C (dec.) |
| 分子量: |
307.34 |
| 储存: |
Hygroscopic, 冰箱保存, Under Inert Atmosphere |
| 溶解性: |
Water (Slightly) |
| 稳定性: |
Hygroscoipic |
| 种类: |
Research Tools; Amino Acids; Molecular Biology; Cross-linkers; |
| 应用: |
Collagen reducible crosslink agent. |
| 参考文献 |
|
|
|
|
|
|
|
|