欢迎光临:莱耀标准品网!
 您的位置:对照品 > 标准品 > 英国药典 >
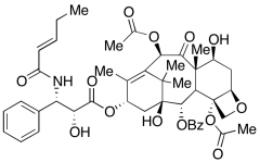
Desmethyl Ethyldihydrocephalomannin​e
产品基本信息
产品编号:D448775
产品名称:Desmethyl Ethyldihydrocephalomannin​e
产品CAS:514801-83-3
规格含量:10mg
产品价格:面议
联系我们:
产品详细介绍
标准品编号: D448775
名称: Desmethyl Ethyldihydrocephalomannin​e
别名: (αR,βS)-α-Hydroxy-β-[[(2E)-1-oxo-2-penten-1-yl]amino]-(2aR,4S,4aS,6R,9S,11S,12S,12aR,12bS)-6,12b-bis(acetyloxy)-12-(benzoyloxy)-2a,3,4,4a,5,6,9,10,11,12,12a,12b-dodecahydro-4,11-dihydroxy-4a,8,13,13-tetramethyl-5-oxo-7,11-methano-1H-cyclodeca[3,4]benz[1,2-b]oxet-9-yl Ester Benzenepropanoic Acid
CAS号: 514801-83-3
分子式: C₄₅H₅₃NO₁₄
分子量: 831.9
种类: Building Blocks;
应用: Desmethyl Ethyldihydrocephalomannine has been used for the synthesis of 3'-N-Substituted-3'-N-debenzoylpaclitaxel analogs.
参考文献


2011-2018 信阳莱耀生物科技有限公司 @ 信阳埃尔文生物科技有限公司版权所有

中检所标准品,对照品,标准气体
Keywords: 中检所标准品 对照品 标准气体