欢迎光临:莱耀标准品网!
 您的位置:对照品 > 标准品 > 英国药典 >
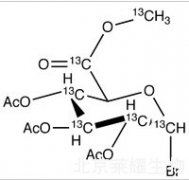
Acetobromo-α-D-glucuronic Acid-13C6 Methyl Ester
产品基本信息
产品编号:A162002
产品名称:Acetobromo-α-D-glucuronic Acid-13C6 Methyl Ester
产品CAS:
规格含量:50mg,100mg
产品价格:22000元,31000元
联系我们:
产品详细介绍

  Acetobromo-α-D-glucuronic Acid-13C6 Methyl Ester标准品

  货号:A162002
  英文名称:Acetobromo-α-D-glucuronic Acid-13C6 Methyl Ester
  别名:1-Bromo-1-deoxy-2,3,4-triacetate α-D-Glucopyranuronic-13C6 Acid Methyl Ester; Methyl (Tri-O-acetyl-α-D-glucopyranosyl Bromide)uronate-13C6; Methyl 2,3,4-Tri- O-acetyl-1-bromo-1-deoxy-α-D-glucopyranuranate-13C6; Methyl α-Acetobromo- glucuronate-13C6;
  规格:50mg,100mg
  结构式:
Acetobromo-α-D-glucuronic Acid-13C6
  分子式:C713C6H17BrO9
  分子量:403.13
  产品类别:莱耀生物标准品,莱耀生物提供
  注:产品名称以英文名称为准


2011-2018 信阳莱耀生物科技有限公司 @ 信阳埃尔文生物科技有限公司版权所有

中检所标准品,对照品,标准气体
Keywords: 中检所标准品 对照品 标准气体