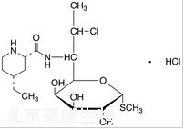
盐酸吡利霉素标准品
货号:P509300
英文名称:Pirlimycin Hydrochloride
别名: (2S-cis)-Methyl 7-Chloro-6,7,8-trideoxy-6-[[(4-ethyl-2-piperidinyl)carbonyl]amino]-1 -thio-L-threo
规格:0.5mg,5mg
结构式:

CAS号:78822-40-9
分子式:C17H32Cl2N2O5S
分子量:447.42
产品类别:莱耀生物标准品,莱耀生物提供
注:产品信息以英文名称为准
|