Gentamicin C1a Pentaacetate Salt标准品
货号:G360590
英文名称:Gentamicin C1a Pentaacetate Salt
别名:O-3-Deoxy-4-C-methyl-3-(methylamino)-β-L-arabinopyranosyl-(1-6)-O-[2,6-diamino-2,3,4,6-tetradeoxy
规格:1mg,10mg
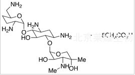
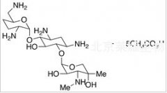
结构式:

CAS号:26098-04-4
分子式:C29H59N5O17
分子量:749.8
产品类别:莱耀生物标准品,莱耀生物提供
注:产品信息以英文名称为准
|