欢迎光临:莱耀标准品网!
 您的位置:对照品 > 标准品 > 英国药典 >
O-3-Deoxy-3-[(2,2,2-trifluoroacetyl)amino]-α-D-glucopyranosyl-(1→6)-O-[
产品基本信息
产品编号:D281540
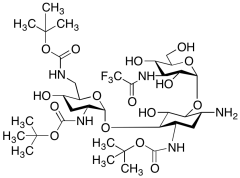
产品名称:O-3-Deoxy-3-[(2,2,2-trifluoroacetyl)amino]-α-D-glucopyranosyl-(1→6)-O-[
产品CAS:502610-98-2
规格含量:10mg
产品价格:面议
联系我们:
产品详细介绍
标准品编号: D281540
名称: O-3-Deoxy-3-[(2,2,2-trifluoroacetyl)amino]-α-D-glucopyranosyl-(1→6)-O-[2,3,6-trideoxy-2,6-bis[[(1,1-dimethylethoxy)carbonyl]amino]-α-D-ribo-hexopyranosyl-(1→4)]-2-deoxy-N3-[(1,1-dimethylethoxy)carbonyl]-D-streptamine
别名: O-3-Deoxy-3-[(trifluoroacetyl)amino]-α-D-glucopyranosyl-(1→6)-O-[2,3,6-trideoxy-2,6-bis[[(1,1-dimethylethoxy)carbonyl]amino]-α-D-ribo-hexopyranosyl-(1→4)]-2-deoxy-N3-[(1,1-dimethylethoxy)carbonyl]-D-streptamine;
CAS号: 502610-98-2
分子式: C₃₅H₆₀F₃N₅O₁₆
分子量: 863.87
种类: Standards; Antibotics; Carbohydrates and Oligosaccharides;
应用: O-3-Deoxy-3-[(2,2,2-trifluoroacetyl)amino]-α-D-glucopyranosyl-(1→6)-O-[2,3,6-trideoxy-2,6-bis[[(1,1-dimethylethoxy)carbonyl]amino]-α-D-ribo-hexopyranosyl-(1→4)]-2-deoxy-N3-[(1,1-dimethylethoxy)carbonyl]-D-streptamine is an intermediate used in the synthesis of 1-N-Ureido Tobramycin Tetrahydrochloride Salt (U824490), which is the HCl salt form of 1-N-Ureido Tobramycin which is a related compound of Tobramycin (T524000), single factor antibiotic comprising about 10% of nebramycin, the aminoglycosidic antibiotic complex produced by Streptomyces tenebrarius. Antibacterial.
参考文献


2011-2018 信阳莱耀生物科技有限公司 @ 信阳埃尔文生物科技有限公司版权所有

中检所标准品,对照品,标准气体
Keywords: 中检所标准品 对照品 标准气体