欢迎光临:莱耀标准品网!
 您的位置:对照品 > 标准品 > 英国药典 >
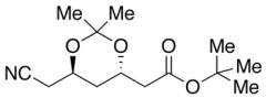
(4S,6R)-6-(Cyanomethyl)-2,2-dimethyl-1,3-dioxane-4-acetic Acid tert-Butyl Ester
产品基本信息
产品编号:C981911
产品名称:(4S,6R)-6-(Cyanomethyl)-2,2-dimethyl-1,3-dioxane-4-acetic Acid tert-Butyl Ester
产品CAS:186508-95-2
规格含量:100mg
产品价格:面议
联系我们:
产品详细介绍
标准品编号: C981911
名称: (4S,6R)-6-(Cyanomethyl)-2,2-dimethyl-1,3-dioxane-4-acetic Acid tert-Butyl Ester
别名: (4S,6R)-6-(Cyanomethyl)-2,2-dimethyl-1,3-dioxane-4-acetic Acid 1,1-Dimethylethyl Ester; (4S-trans)-6-(Cyanomethyl)-2,2-dimethyl-1,3-dioxane-4-acetic Acid 1,1-Dimethylethyl Ester
CAS号: 186508-95-2
分子式: C₁₄H₂₃NO₄
外观: Clear Colorless to Yellow Oil
熔点: N/A
分子量: 269.34
储存: 冰箱保存
溶解度: Chloroform (Slightly), Methanol (Slightly)
类别: Standards; Chiral Molecules; Pharmaceutical/API Drug Impurities/Metabolites;
应用: Intermediate in the preparation of Atorvastatin 10-Trans (阿托伐他汀杂质AT10)
参考文献


2011-2018 信阳莱耀生物科技有限公司 @ 信阳埃尔文生物科技有限公司版权所有

中检所标准品,对照品,标准气体
Keywords: 中检所标准品 对照品 标准气体