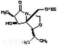
(3R,4S,5S,6S)-1-Aza-5-(t-butyldimethylsilyloxymethyl)-4-hydroxy-6-isopropyl-3-methyl-7-oxabicyclo[3.3.0]-octan-2-one标准品
货号:A795450
英文名称: (3R,4S,5S,6S)-1-Aza-5-(t-butyldimethylsilyloxymethyl)-4-hydroxy-6-isopropyl-3-methyl-7-oxabicyclo[3.3.0]-octan-2-one
别名: [1S-(1α,6α,7α,7aα)]-7a-[[[(1,1-Dimethylethyl)dimethylsilyl]oxy]methyl]tetrahydro-7-hydroxy-6-methyl-1-(1-methylethyl)-3H,5H-pyrrolo[1,2-c]oxazol-5-one;
规格:2.5mg
结构图:

CAS号:145451-95-2
分子式:C₁₇H₃₃NO₄Si
分子量:343.53
产品类别:标准对照品,北京莱耀生物提供
注:产品名称以英文名称为准
|