您的位置:对照品 > 标准品 > accustandard > |
|
|
|
| 产品基本信息 |
|
| 产品编号:无 |
| 产品名称:七叶皂苷钠(主要四个皂苷) |
| 产品CAS:无 |
| 规格含量:20mg |
| 产品价格:面议 |
| 联系我们: |
|
|
|
|
|
| 产品详细介绍 |
|
中文名称
|
七叶皂苷钠(主要四个皂苷)
|
中文别名
|
补充中
|
|
英文名
|
Sodium Aescinate
|
英文别名
|
补充中
|
|
分子式
|
|
|
提取来源
|
|
叶树科植物天师栗的干燥成熟果实(娑罗子)提取物得到的皂苷钠盐。
|
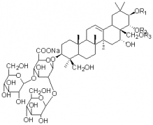
化学结构
|
|
|
外观
|
|
白色粉末或结晶性粉末
|
|
|
NMR; MS
|
|
4℃冷藏、密封、避光
|
|
2年
|
|
无
|
|
|
鉴别方法
|
|
贮存条件
|
|
有效期
|
|
注意事项
|
|
溶解性
|
溶于甲醇,DMSO
|
|
测定方法
|
HPLC法,以乙腈-磷酸溶液(40:60)为流动相,Supelcosil TM LC-C18色谱柱(4.6mm250mm,5μm),检测波长:220nm。
|
|
药典测定方法
|
补充中…
|
|
用途
|
用于含量测定/鉴定/药理实验等
|
|
|
|
|
|