欢迎光临:莱耀标准品网!
 您的位置:对照品 > 标准品 >
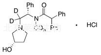
盐酸阿西唑林-d5标准品(Asimadoline-d5 Hydrochlorine)
产品基本信息
产品编号:A788252
产品名称:盐酸阿西唑林-d5标准品(Asimadoline-d5 Hydrochlorine)
产品CAS:
规格含量:1mg
产品价格:2700元
联系我们:
产品详细介绍

  盐酸阿西唑林-d5标准品

  货号:A788252
  英文名称:Asimadoline-d5 Hydrochlorine
  别名:N-[(1S)-2-[(3S)-3-Hydroxy-1-pyrrolidinyl]-1-phenylethyl]-N-methyl-α-phenylbenzeneacetamide-d5 Monohydrochloride;
[S-(R*,R*)]-N-[2-(3-Hydroxy-1-pyrrolidinyl)-1-phenylethyl]-N-methyl-α-phenylbenzeneacetamide-d5 Monohydrochloride;
  规格:1mg
  结构图:
盐酸阿西唑林-d5标准品
  分子式:C₂₇H₂₆D₅ClN₂O₂
  分子量:456.03
  产品类别:标准对照品,北京莱耀生物提供
  注:产品名称以英文名称为准


2011-2018 信阳莱耀生物科技有限公司 @ 信阳埃尔文生物科技有限公司版权所有

中检所标准品,对照品,标准气体
Keywords: 中检所标准品 对照品 标准气体