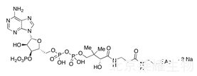
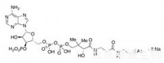
Acetyl Coenzyme A Trisodium Salt标准品
货号:A172130
英文名称:Acetyl Coenzyme A Trisodium Salt
别名:S-Acetate Coenzyme A Tisodium Salt; S-(2-(3-((2R)-4-(((((((2R,3S,4R,5R)-5-(6-Amino-9H-purin-9-yl)-4-hydroxy-3-(phosphonooxy)tetrahydrofuran-2-yl)methoxy)(hydroxy)phosphoryl)oxy)(hydroxy)phosphoryl)oxy)-2-hydroxy-3,3-dimethylbutanamido)propanamido)ethyl) Ethanethioate Trisodium Salt
规格:10mg
结构图:

CAS号:102029-73-2
分子式:C₂₃H₃₈N₇Na₃O₁₇P₃S
分子量:878.54
产品类别:标准对照品,北京莱耀生物提供
注:产品名称以英文名称为准
|