欢迎光临:莱耀标准品网!
 您的位置:对照品 > 标准品 >
O-(5-Acetamido-4,7,8,9-tetra-O-acetyl-3-thiophenyl-α-neuraminosyl Methyl Ester)-2-α-3-O-(
产品基本信息
产品编号:A161160
产品名称:O-(5-Acetamido-4,7,8,9-tetra-O-acetyl-3-thiophenyl-α-neuraminosyl Methyl Ester)-2-α-3-O-(
产品CAS:
规格含量:2.5mg,25mg
产品价格:3100元,25000元
联系我们:
产品详细介绍

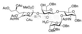
  O-(5-Acetamido-4,7,8,9-tetra-O-acetyl-3-thiophenyl-α-neuraminosyl Methyl Ester)-2-α-3-O-(6-O-benzyl-β-D-galactopyranosyl)-1-β-4-O-[6-deoxy-2,3,4-tri-O-benzyl-α-L-galactopyranosyl-(1-α-3)]-2-(acetylamino)-2-deoxy-1,6-di-O-benzyl-α-D-glucose标准品

  货号:A161160
  英文名称:O-(5-Acetamido-4,7,8,9-tetra-O-acetyl-3-thiophenyl-α-neuraminosyl Methyl Ester)-2-α-3-O-(6-O-benzyl-β-D-galactopyranosyl)-1-β-4-O-[6-deoxy-2,3,4-tri-O-benzyl-α-L-galactopyranosyl-(1-α-3)]-2-(acetylamino)-2-deoxy-1,6-di-O-benzyl-α-D-glucose
  规格:2.5mg,25mg
  结构图:
标准品
  分子式:C88H102N2O27S
  分子量:1651.81
  产品类别:标准对照品,北京莱耀生物提供
  注:产品名称以英文名称为准


2011-2018 信阳莱耀生物科技有限公司 @ 信阳埃尔文生物科技有限公司版权所有

中检所标准品,对照品,标准气体
Keywords: 中检所标准品 对照品 标准气体