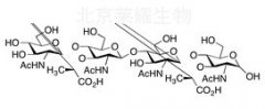
O-2-(Acetylamino)-2-deoxy-β-D-glucopyranosyl-(1→4)-O-(N-acetyl- β-muramosyl)-(1→4)-O-2-(acetylamino)-2-deoxy-β-D-glucopyranosyl-(1→4)-N-acetylmuramic Acid标准品
货号:A133105
英文名称:O-2-(Acetylamino)-2-deoxy-β-D-glucopyranosyl-(1→4)-O-(N-acetyl- β-muramosyl)-(1→4)-O-2-(acetylamino)-2-deoxy-β-D-glucopyranosyl-(1→4)-N-acetylmuramic Acid
别名:GlcNAc-MurNAc-GlcNAc-MurNAc; (R)-O-2-(acetylamino)-2-deoxy-β-D-glucopyranosyl-(1→4)-O-(3R)-2-(acetylamino)-3-O-(1-carboxyethyl)-2-deoxy-β-D-glucopyranosyl-(1→4)-O-2-(acetylamino)-2-deoxy-β-D-glucopyranosyl-(1→4)-2-(acetylamino)-3-O-(1-carboxyethyl)-2-deoxy-D-glucose;
规格:10mg
结构图:

CAS号:13538-21-1
分子式:C38H62N4O25
分子量:974.91
产品类别:标准对照品,北京莱耀生物提供
注:产品名称以英文名称为准
|