|
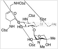
O-3-Deoxy-4-C-methyl-3-[methyl[(phenylmethoxy)carbonyl]amino]-β-L-arabinopyranosyl-(1→6)-O-[2,3,4,6-tetradeoxy-2,6-bis[[(phenylmethoxy)carbonyl]amino]-α-D-glycero-hex-4-enopyranosyl-(1→4)]-2-deoxy-N1-ethyl-N1,N3-bis[(phenylmethoxy)carbonyl]-D-streptamine标准品
货号:D232710
规格:25mg,250mg
结构式:

CAS号:65162-78-9
分子式:C61H71N5O17
分子量:1146.24
产品类别:标准对照品,北京莱耀生物提供
注:产品名称以英文名称为准
|