O-Demethoxypropane Aliskiren标准品
货号:D231415
英文名称:O-Demethoxypropane Aliskiren
别名: (αS,γS,δS,ζS)-δ-Amino-N-(3-amino-2,2-dimethyl-3-oxopropyl)-γ,3-dihydroxy-4-methoxy-α,ζ-bis(1-methylethyl)benzeneoctanamide; (2S,4S,5S,7S)-5-Amino-N-(3-amino-2,2-dimethyl-3-oxopropyl)-4-hydroxy-7-(3-hydroxy-4-methoxybenzyl)-2-isopropyl-8-methylnonanamide
规格:1mg,10mg
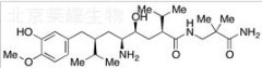
结构式:

CAS号:949925-77-3
分子式:C26H45N3O5
分子量:479.65
产品类别:标准对照品,北京莱耀生物提供
注:产品名称以英文名称为准
|