您的位置:对照品 > 标准品 > |
|
|
|
| 产品基本信息 |
|
| 产品编号:MM0020.12 |
| 产品名称:盐酸西咪替丁杂质B标准品 |
| 产品CAS:138035-55-9 |
| 规格含量:100mg |
| 产品价格:15000元 |
| 联系我们: |
|
|
|
|
|
| 产品详细介绍 |
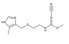
盐酸西咪替丁杂质B标准品
货号:MM0020.12
英文名称:3-Cyano-2-methyl-1-[2-[[(5-methyl-1H-imidazol-4-yl)methyl]sulphanyl]ethyl]isourea, Cimetidine Hydrochloride Imp. B (EP)
型号:100mg
CAS号:138035-55-9
产品类别:英国药典标准品,莱耀生物提供
注:产品信息以英文名称为准

|
|
|
|
|