欢迎光临:莱耀标准品网!
 您的位置:对照品 > 标准物质 > 质控品 >
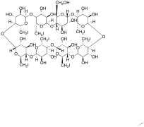
I7-CyD
产品基本信息
产品编号:I100060
产品名称:I7-CyD
产品CAS:
规格含量:5mg
产品价格:面议
联系我们:
产品详细介绍
标准品编号: I100060
名称: I7-CyD
分子式: C₄₈H₇₃I₇O₃₃
分子量: 2066.4
种类: Standards; Pharmaceutical/API Drug Impurities/Metabolites;
应用: I7-CyD is SGM impurity with parent structure γ-Cyclodextrin (C989095).γ-Cyclodextrin (C989095) is used as nanomolecular encapsulation for drug delivery and pharmaceuticals. Used in the synthesis of unilamellar vesicles.
参考文献


2011-2018 信阳莱耀生物科技有限公司 版权所有

中检所标准品,对照品,标准气体
Keywords: 中检所标准品 对照品 标准气体