您的位置:对照品 > 标准物质 > 质控品 > |
|
|
|
| 产品基本信息 |
|
| 产品编号:D484205 |
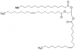
| 产品名称:1,3-Dioleoyl-2-palmitoylglycerol |
| 产品CAS:1716-07-0 |
| 规格含量:10mg |
| 产品价格:面议 |
| 联系我们: |
|
|
|
|
|
| 产品详细介绍 |
| 标准品编号: |
D484205 |
| 名称: |
1,3-Dioleoyl-2-palmitoylglycerol |
| 别名: |
(9Z)-9-Octadecenoic Acid 1,1’-[2-[(1-Oxohexadecyl)oxy]-1,3-propanediyl] Ester; 1,3-Dioleo-2-palmitin; 2-Palmito-1,3-diolein; Glyceryl 1,3-dioleate 2-palmitate; Triglyceride OPO,sn; |
| CAS号: |
1716-07-0 |
| 分子式: |
C₅₅H₁₀₂O₆ |
| 外观: |
Clear Colourless Oil |
| 分子量: |
859.39 |
| 储存: |
冰箱保存 |
| 溶解性: |
Chloroform (Slightly), Ethyl Acetate (Slightly), Methanol (Slightly) |
| 种类: |
Standards; Lipids/Fatty Acids, Glycerol Derivatives; |
| 应用: |
A triglyceride for use in making human milk replacements. |
| 参考文献 |
|
|
|
|
|
|
|
|