您的位置:对照品 > 标准物质 > 质控品 > |
|
|
|
| 产品基本信息 |
|
| 产品编号:D446500 |
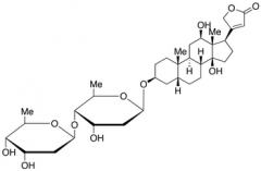
| 产品名称:Digoxigenin Bisdigitoxoside |
| 产品CAS:02/05/5297 |
| 规格含量:2.5mg |
| 产品价格:面议 |
| 联系我们: |
|
|
|
|
|
| 产品详细介绍 |
| 标准品编号: |
D446500 |
| 名称: |
Digoxigenin Bisdigitoxoside |
| 别名: |
(3β,5β,12β)-3-[[2,6-Dideoxy-4-O-(2,6-dideoxy-β-D-ribo-hexopyranosyl)-β-D-ribo-hexopyranosyl]oxy]-12,14-dihydroxycard-20(22)-enolide; Digoxigenin Didigitoxoside; Bisdigoxigenin; Digoxigenin Bisdigitoxide; |
| CAS号: |
02/05/5297 |
| 分子式: |
C₃₅H₅₄O₁₁ |
| 外观: |
白色至淡黄色固体 |
| 熔点: |
>200°C (dec.) |
| 分子量: |
650.8 |
| 储存: |
Hygroscopic, -20°C Freezer, Under inert atmosphere |
| 溶解性: |
Chloroform (Slightly), DMSO (Slightly), Methanol (Slightly) |
| 稳定性: |
Hygroscopic |
| 种类: |
Standards; Steroids; Pharmaceutical/API Drug Impurities/Metabolites; |
| 应用: |
A metabolite of Digoxin (Dx) (D446575). |
| 危险品: |
Not a dangerous good if item is equal to or less than 1g/ml and there is less than 100g/ml in the package |
| 参考文献 |
|
|
|
|
|
|
|
|