欢迎光临:莱耀标准品网!
 您的位置:对照品 > 标准物质 > 质控品 >
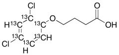
4-(2,4-Dichlorophenoxy)butanoic Acid-13C6
产品基本信息
产品编号:D435342
产品名称:4-(2,4-Dichlorophenoxy)butanoic Acid-13C6
产品CAS:
规格含量:2.5mg
产品价格:面议
联系我们:
产品详细介绍
标准品编号: D435342
名称: 4-(2,4-Dichlorophenoxy)butanoic Acid-13C6
别名: 2,4-DB-13C6; 2,4-DM-13C6; 2,4-Dichlorophenoxybutyric Acid-13C6; 4-(2,4-Dichlorophenoxy)butyric Acid-13C6; Buratal-13C6; Butyrac-13C6; Butyrac 118-13C6; Butyrac 200-13C6; Legumex-13C6; Legumex D-13C6; NSC 70337-13C6; Sys 67 Buratal-13C6; γ-(2,4-Dichlorophenoxy)butyric Acid-13C6
参考CAS号: 未标记:94-82-6
分子式: C₄¹³C₆H₁₀Cl₂O₃
分子量: 255.05
种类: Standards; Isotopic Labeled Analogues; Environmental Standards, Mutagens and Metabolites;
应用: 4-(2,4-Dichlorophenoxy)butanoic Acid-13C6 is the isotope labelled analog of 4-(2,4-Dichlorophenoxy)butanoic Acid (D435340); a herbicide.
参考文献


2011-2018 信阳莱耀生物科技有限公司 版权所有

中检所标准品,对照品,标准气体
Keywords: 中检所标准品 对照品 标准气体