您的位置:对照品 > 标准物质 > 铁标准物质 > |
|
|
|
| 产品基本信息 |
|
| 产品编号:G596510 |
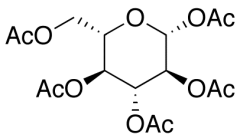
| 产品名称:β-L-Glucose Pentaacetate |
| 产品CAS:66966-07-2 |
| 规格含量:500mg |
| 产品价格:面议 |
| 联系我们: |
|
|
|
|
|
| 产品详细介绍 |
| 标准品编号: |
G596510 |
| 名称: |
β-L-Glucose Pentaacetate |
| 别名: |
1,2,3,4,6-Penta-O-acetyl-β-L-glucopyranose; β-L-Glucose Pentaacetate |
| CAS号: |
66966-07-2 |
| 分子式: |
C₁₆H₂₂O₁₁ |
| 外观: |
白色固体 |
| 分子量: |
390.34 |
| 储存: |
冰箱 |
| 种类: |
Standards; Carbohydrates and Oligosaccharides; |
| 应用: |
Displays insulinotropic potential. |
| 参考文献 |
|
|
|
|
|
|