欢迎光临:莱耀标准品网!
 您的位置:对照品 > 标准物质 > 铁标准物质 >
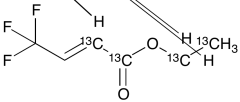
Ethyl Trifluorocrotonate-13C3
产品基本信息
产品编号:E931305
产品名称:Ethyl Trifluorocrotonate-13C3
产品CAS:
规格含量:5mg
产品价格:面议
联系我们:
产品详细介绍
标准品编号: E931305
名称: Ethyl Trifluorocrotonate-13C3
参考CAS: Unlabeled: 25597-16-4
分子式: C₂¹³C₄H₇F₃O₂
分子量: 172.08
种类: Building Blocks; Isotopic Labeled Analogues;
应用: Ethyl Trifluorocrotonate-3(13C) is the labeled version of Ethyl trans-4,4,4-Trifluorocro (E930455), which is an intermediate used in the synthesis of various pharmaceutically active molecules and agricultural products. It can also be used in the synthesis of novel amino trifluoromethyl cyclopropane carboxylic acid derivatives in the presence of nucleophilic reagents.
参考文献


2011-2018 信阳莱耀生物科技有限公司 版权所有

中检所标准品,对照品,标准气体
Keywords: 中检所标准品 对照品 标准气体