您的位置:对照品 > 标准物质 > 铁标准物质 > |
|
|
|
| 产品基本信息 |
|
| 产品编号:D452902 |
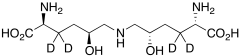
| 产品名称:(5S,5’S)-Dihydroxy Lysinonorleucine-d4 |
| 产品CAS: |
| 规格含量:2.5mg |
| 产品价格:面议 |
| 联系我们: |
|
|
|
|
|
| 产品详细介绍 |
| 标准品编号: |
D452902 |
| 名称: |
(5S,5’S)-Dihydroxy Lysinonorleucine-d4 |
| 别名: |
N6-[(2S,5S)-5-amino-5-carboxy-2-hydroxypentyl]-5-hydroxy-L-lysine-d4; (5S,5’S)-Hydroxylysinohydroxynorleucine-d4; |
| 参考CAS号: |
32619-23-1 |
| 分子式: |
C₁₂H₂₁D₄N₃O₆ |
| 外观: |
白色至淡黄色固体 |
| 熔点: |
>186°C (dec.) |
| 分子量: |
311.37 |
| 储存: |
Hygroscopic, -20°C Freezer, Under inert atmosphere |
| 溶解性: |
Water (Slightly) |
| 稳定性: |
Hygroscopic |
| 种类: |
Research Tools; Molecular Biology; Nucleic Acids; Cross-linkers; |
| 应用: |
Isotope labelled (5S,5’S)-Dihydroxy Lysinonorleucine, a collagen reducible crosslink agent. |
| 参考文献 |
|
|
|
|
|
|
|
|