您的位置:对照品 > 标准物质 > 铁标准物质 > |
|
|
|
| 产品基本信息 |
|
| 产品编号:D288910 |
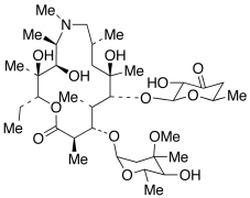
| 产品名称:3’-Des(dimethylamino)-3’-keto Azithromycin |
| 产品CAS:612069-25-7 |
| 规格含量:5mg |
| 产品价格:面议 |
| 联系我们: |
|
|
|
|
|
| 产品详细介绍 |
| 标准品编号: |
D288910 |
| 名称: |
3’-Des(dimethylamino)-3’-keto Azithromycin |
| 别名: |
(2R,3S,4R,5R,8R,10R,11R,12S,13S,14R)-11-[[4,6-dideoxy-β-D-erythro-hexopyranos-3-ulos-1-yl]oxy]-13-[(2,6-dideoxy-3-C-methyl-3-O-methyl-α-L-ribo-hexopyranosyl)oxy]-2-ethyl-3,4,10-trihydroxy-3,5,6,8,10,12,14-heptamethyl-1-oxa-6-azacyclopentadecan-15-one; 3’-De(dimethylamino)-3’-oxoazithromycin; Azithromycin Impurity N; Azithromycin USP RRT- 0.76 |
| 杂质: |
Azithromycin EP Impurity N |
| CAS号: |
612069-25-7 |
| 分子式: |
C₃₆H₆₅NO₁₃ |
| 外观: |
白色至淡黄色固体 |
| 熔点: |
>150°C (dec.) |
| 分子量: |
719.9 |
| 储存: |
Hygroscopic, -20°C Freezer, Under inert atmosphere |
| 溶解性: |
Chloroform (Slightly), Methanol (Slightly) |
| 种类: |
Standards; Chiral Molecules; Pharmaceutical/API Drug Impurities/Metabolites; |
| 应用: |
Azithromycin (A927000) impurity. A degradation products of Azithromycin. |
| 参考文献 |
|
|
|
|
|
|
|
|