欢迎光临:莱耀标准品网!
 您的位置:对照品 > 标准物质 > 铁标准物质 >
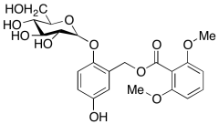
Curculigoside
产品基本信息
产品编号:C844000
产品名称:Curculigoside
产品CAS:85643-19-2
规格含量:25mg
产品价格:面议
联系我们:
产品详细介绍
标准品编号: C844000
名称: Curculigoside
别名: Curculigoside 1; Curculigoside A; Curculigoside I; β-D-Glucopyranoside, 2-[[(2,6-dimethoxybenzoyl)oxy]methyl]-4-hydroxyphenyl
CAS号: 85643-19-2
分子式: C₂₂H₂₆O₁₁
外观: 白色固体
熔点: 156-159°C
分子量: 466.44
储存: -20°C Freezer
溶解度: Methanol (Slightly)
类别: Standards; Pharmaceutical/API Drug Impurities/Metabolites;
应用: Curculigoside induces angiogenesis through Vcam-1/Egr-3/CREB/VEGF signal pathway. May aid in protecting the brain against injury. In addition it improves osteogenesis of human amniotic fluid derived stem cells.
参考文献


2011-2018 信阳莱耀生物科技有限公司 @ 信阳埃尔文生物科技有限公司版权所有

中检所标准品,对照品,标准气体
Keywords: 中检所标准品 对照品 标准气体