您的位置:对照品 > 标准物质 > 铁标准物质 > |
|
|
|
| 产品基本信息 |
|
| 产品编号:C695400 |
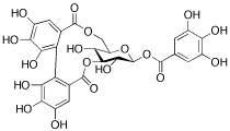
| 产品名称:Corilagin |
| 产品CAS:23094-69-1 |
| 规格含量:5mg |
| 产品价格:面议 |
| 联系我们: |
|
|
|
|
|
| 产品详细介绍 |
| 标准品编号: |
C695400 |
| 名称: |
Corilagin |
| 别名: |
1-O-Galloyl-3,6-hexahydroxydiphenol-β-D-Glucopyranose; |
| CAS号: |
23094-69-1 |
| 分子式: |
C₂₇H₂₂O₁₈ |
| 外观: |
白色固体 |
| 熔点: |
>188˚C (dec.) |
| 分子量: |
634.45 |
| 储存: |
-20°C Freezer |
| 溶解度: |
DMSO (Slightly), Methanol (Slightly) |
| 稳定性: |
Hygroscopic |
| 类别: |
Standards; Carbohydrates and Oligosaccharides; |
| 应用: |
Thrombolytic. |
| 参考文献 |
|
|
|
|
|
|
|
|