欢迎光临:莱耀标准品网!
 您的位置:对照品 > 标准物质 > 农残标准物质 >
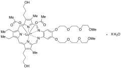
Motexafin Lutetium Hydrate
产品基本信息
产品编号:M732700
产品名称:Motexafin Lutetium Hydrate
产品CAS:156436-90-7
规格含量:
产品价格:面议
联系我们:
产品详细介绍
标准品编号: M732700
名称: Motexafin Lutetium Hydrate
别名: (PB-7-11-233'2'4)-Bis(acetato-κO)[9,10-diethyl-20,21-bis[2-[2-(2-methoxyethoxy)ethoxy]ethoxy]-4,15-dimethyl-8,11-imino-3,6:16,13-dinitrilo-1,18-benzodiazacycloeicosine-5,14-dipropanolato-κN1,κN18,κN23,κN24,κN25]lutetium Hydrate; NSC 695239; PCI 0123;
CAS号: 156436-90-7
参考CAS号: Free Base: 246252-04-0
分子式: C₅₂H₇₂LuN₅O₁₄•xH₂O
分子量: 1166.12
种类: Standards; Pharmaceutical/API Drug Impurities/Metabolites;
应用: Synthetic metal-coordinating expanded porphyrin. Diamagnetic photosensitizer that is activated using far-red light to generate cytotoxic singlet oxygen. Antiatherosclerotic, antineoplastic (photosensitizer). Used in treatment of age-related macular degeneration.
参考文献


2011-2018 信阳莱耀生物科技有限公司 版权所有

中检所标准品,对照品,标准气体
Keywords: 中检所标准品 对照品 标准气体