欢迎光临:莱耀标准品网!
 您的位置:对照品 > 标准物质 > 农残标准物质 >
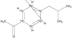
4'-Isobutylacetophenone-13C6
产品基本信息
产品编号:I780067
产品名称:4'-Isobutylacetophenone-13C6
产品CAS:
规格含量:2.5mg
产品价格:面议
联系我们:
产品详细介绍
标准品编号: I780067
名称: 4'-Isobutylacetophenone-13C6
别名: 1-[4-(2-Methylpropyl)phenyl]ethanone-13C6; 1-Acetyl-4-isobutylbenzene-13C6; 1-[4-(2-Methylpropyl)phenyl]-1-ethanone-13C6; 1-[4-(2-Methylpropyl)phenyl]ethanone-13C6; 4-(2-Methylpropyl)acetophenone-13C6; NSC 173015-13C6; p-Acetylisobutylbenzene-13C6; p-Isobutylacetophenone-13C6; p-Isobutylphenyl Methyl Ketone-13C6; 4-IBAP-13C6; USP Ibuprofen Related Compound C-13C6; Ibuprofen EP Impurity E-13C6
参考CAS号: 38861-78-8
分子式: C₆¹³C₆H₁₆O
分子量: 182.21
溶解度: Dichloromethane; Diethyl Ether; Ethyl Acetate; THF
种类: Building Blocks; Isotopic Labeled Analogues;
应用: 4'-Isobutylacetophenone-13C6 is an intermediate in synthesizing Ibuprofen-13C6 (I140003), a labelled Ibuprofen. It is a selective cyclooxygenase inhibitor (IC50=14.9uM). Inhibits PGH synthase-1 and PGH synthase-2 with comparable potency.
危险品: Not a dangerous good if item is equal to or less than 1g/ml and there is less than 100g/ml in the package
参考文献


2011-2018 信阳莱耀生物科技有限公司 版权所有

中检所标准品,对照品,标准气体
Keywords: 中检所标准品 对照品 标准气体