欢迎光临:莱耀标准品网!
 您的位置:对照品 > 标准物质 > 农残标准物质 >
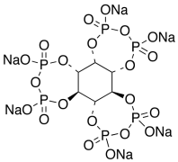
myo-Inositol Trispyrophosphate Hexasodium Salt
产品基本信息
产品编号:I666020
产品名称:myo-Inositol Trispyrophosphate Hexasodium Salt
产品CAS:23103-35-7
规格含量:100mg
产品价格:面议
联系我们:
产品详细介绍
标准品编号: I666020
名称: myo-Inositol Trispyrophosphate Hexasodium Salt
别名: ITTP Hexasodium Salt; myo-Inositol Cyclic 1,2:3,4:5,6-Tris(dihydrogen pyrophosphate)) Hexasodium Salt; myo-Inositol Cyclic 1,2:3,4:5,6-Tris(P,P'-dihydrogen diphosphate) Hexasodium Salt;
CAS号: 23103-35-7
参考CAS号: Freeacid: 802590-64-3
分子式: C₆H₆Na₆O₂₁P₆
外观: 白色至白色固体
熔点: >270°C (dec.)
分子量: 737.88
储存: Hygroscopic, -20˚C Freezer, Under Inert Atmosphere
溶解度: Water
稳定性: Hygroscopic
种类: Standards; Pharmaceutical/API Drug Impurities/Metabolites;
应用: A novel membrane-permeant allosteric effector of hemoglobin (Hb), enhances the regulated oxygen release capacity of red blood cells, thus counteracting the effects of hypoxia in diseases such as cancer and cardiovascular ailments.
参考文献


2011-2018 信阳莱耀生物科技有限公司 版权所有

中检所标准品,对照品,标准气体
Keywords: 中检所标准品 对照品 标准气体