您的位置:对照品 > 标准物质 > 农残标准物质 >
产品基本信息
产品编号:G615993
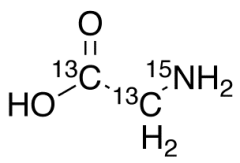
产品名称:Glycine-13C2,15N
产品CAS:211057-02-2
规格含量:250mg
产品价格:面议
联系我们:
产品详细介绍
标准品编号:
G615993
名称:
Glycine-13C2,15N
别名:
2-Aminoacetic Acid-13C2,15N; Aciport-13C2,15N; Aminoethanoic Acid-13C2,15N; Glicoamin-13C2,15N; Glycocoll-13C2,15N; Glycolixir-13C2,15N; Glycosthene-13C2,15N; Gyn-Hydralin-13C2,15N; NSC 25936; NSC 2916-13C2,15N; NSC 54188-13C2,15N; Padil-13C2,15N;
CAS号:
211057-02-2
参考CAS号:
类似: 56-40-6
分子式:
¹³C₂H₅¹⁵NO₂
外观:
白色固体
熔点:
>225°C (dec.)
分子量:
78.05
储存:
冰箱
溶解度:
Water (Slightly)
种类:
Building Blocks; Amino Acids;
应用:
Labelled analogue of Glycine, a non-essential amino acid for human development. Glycine is an inhibitory neurotransmitter in spinal cord, allosteric regulator of NMDA receptors.
参考文献
Scott, D. et al.: J. Neurosci., 21, 3063 (2001); Laube, B. et al.: Neuropharmacology, 47, 994 (2004); Papadakis, M. et al.: J. Biol. Chem., 279, 14703 (2004); Chen, P. et al.: Mol. Pharmacol., 67, 1470 (2005); Wolosker, H. et al.: Mol. Neurobiol., 36, 152 (2007);
Download MSDS File