您的位置:对照品 > 标准物质 > 农残标准物质 > |
|
|
|
| 产品基本信息 |
|
| 产品编号:G837911 |
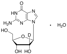
| 产品名称:Guanosine-2'-2H Monohydrate |
| 产品CAS: |
| 规格含量:10mg |
| 产品价格:面议 |
| 联系我们: |
|
|
|
|
|
| 产品详细介绍 |
| 标准品编号: |
G837911 |
| 名称: |
Guanosine-2'-2H Monohydrate |
| 别名: |
2-Amino-1,9-dihydro-9-β-D-ribofuranosyl-6H-purin-6-one-2'-d; DL-Guanosine-2'-d; Guanine Ribonucleoside-2'-d; 9-β-D-Ribofuranosylguanine-2'-d; 2-Aminoinosine-2'-d; NSC 19994-2'-d; Vernine-2'-d; |
| 参考CAS号: |
Unlabelled: 118-00-3 |
| 分子式: |
C₁₀H₁₄DN₅O₆ |
| 分子量: |
302.26 |
| 种类: |
Building Blocks; Isotopic Labeled Analogues; |
| 应用: |
Isotope labelled analogue of Guanosine (G837900), a constituent of nucleic acids. |
| 参考文献 |
|
|
|
|
|
|