欢迎光临:莱耀标准品网!
 您的位置:对照品 > 标准物质 > 农残标准物质 >
Fireshield C3
产品基本信息
产品编号:F500005
产品名称:Fireshield C3
产品CAS:13560-90-2
规格含量:50mg
产品价格:面议
联系我们:
产品详细介绍
标准品编号: F500005
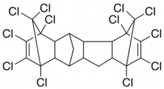
名称: Fireshield C3
别名: 1,2,3,4,6,7,8,9,13,13,14,14-Dodecachloro-4,4a,4b,5,5a,6,9,9a,10,10a,11,11a-dodecahydro- 1,4:5,10:6,9-trimethano-1H-benzo[b]fluorene;
CAS号: 13560-90-2
分子式: C₂₀H₁₂Cl₁₂
分子量: 677.75
种类: Standards; Environmental Standards, Mutagens and Metabolites;
应用: Flame Retardant commonly applied to plastics
参考文献


2011-2018 信阳莱耀生物科技有限公司 版权所有

中检所标准品,对照品,标准气体
Keywords: 中检所标准品 对照品 标准气体